Início » Apont. e Resumos » Física » 11º Ano

Apontamentos e Resumos

de Física - 11º Ano

 

Comunicações

Autores: Alexandra Faria

Escola: Escola Secundária Domingos Rebelo

Data de Publicação: 29/08/2011

Resumo do Trabalho: Resumo/Apontamentos sobre as Comunicações a curta distância, realizado no âmbito da disciplina de Física (11º ano).

Ver Trabalho Completo

Comentar este trabalho / Ler outros comentários

Se tens trabalhos com boas classificações, envia-nos, de preferência em word através do Formulário de Envio de Trabalhos pois só assim o nosso site poderá crescer.

 

 

 

Comunicações

2.1 – Comunicações a curtas distâncias

Comunicação – acto, propositado, de envio de informação.

Pode ser:

. Comunicação a curtas distâncias

. Comunicação a longas distâncias

Num processo de comunicação estão envolvidos 3 agentes de comunicação:

. Fonte receptora – recebe a informação

. Meio de propagação – meio material, ou vácuo, por onde a informação se propaga.

Sinal – perturbação que altera as propriedades do meio material e que tem como função transmitir uma mensagem.

Sinal de curta duração – pulso ou impulso – associado a uma onda solitária

Sinal de longa duração – associado a uma onda persistente

Onda – propagação de uma perturbação no espaço.

. Onda solitária – associada à propagação de um sinal de curta duração.

. Onda persistente – associada à propagação de sinais de longa duração. São geradas por fontes emissoras de pulsos consecutivos.

Quanto à natureza as ondas classificam-se em:

. Mecânicas – é necessário um meio material para que a onda se propague (por exemplo o som).

. Electromagnéticas – não necessitam de um meio material para se propagar, propagam-se no vazio (por exemplo a luz).

As ondas também se classificam em:

. Longitudinais – a perturbação avança na mesma direcção em que foi produzida (ex. o som).

. Transversais – a perturbação avança perpendicularmente à direcção em que foi produzida (ex. a luz).

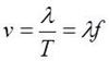
Uma onda transfere energia ao meio sem porém transportar matéria. Tendo como velocidade de propagação

 

Onda periódica – o sinal repete-se em intervalos de tempo regulares (resulta da propagação de pulsos iguais emitidos em intervalos de tempo iguais).

Um sinal harmónico ou sinusoidal é um sinal periódico expresso matematicamente pela função seno ou co-seno, por exemplo:

y é a elongação do corpo oscilante e varia entre A e –A.

A – amplitude das oscilações

w – Frequência/velocidade angular (em que T é o período do movimento periódico)

Características de uma onda:

. Comprimento de onda

. Período

. Frequência

. Amplitude

O período T de uma onda é o intervalo de tempo entre a emissão de dois pulsos. Só depende do período de oscilação da fonte emissora.

O comprimento de onda é a distância que a onda avança ao fim de um período.

A amplitude é a posição máxima/mínima relativamente à posição de equilíbrio.

A frequência é o número de oscilações por intervalo de tempo.

O período, a amplitude e a frequência de uma onda dependem somente da fonte emissora do sinal.

O comprimento de onda depende do meio material em que a onda se propaga.

O período de uma onda caracteriza a periodicidade da onda no tempo.

O comprimento de onda caracteriza a periodicidade da onda no espaço.

Nota: Uma onda sinusoidal é o tipo de onda periódica mais simples. Porém, as ondas periódicas podem ter qualquer forma.

Ondas sonoras

O som tem origem na vibração de partículas ou corpos. Assim, como qualquer onda, é caracterizado pelo período, a frequência, o comprimento de onda e pela velocidade de propagação.

O movimento vibratório das moléculas faz com que se criem zonas com maior densidade de moléculas – Zonas de Compressão, e zonas com menor densidade de moléculas – Zonas de Rarefacção.

A onda sonora também é considerada uma onda de pressão pois, no mesmo ponto do espaço, a pressão varia periodicamente variando entre P +DP e, P -DP em que P é a pressão normal no ponto de equilíbrio. E DP é a variação da pressão em torno da pressão de equilíbrio

Uma onda sonora é uma onda longitudinal pois as partículas de ar oscilam na direcção da propagação da onda.

Nota: Quanto mais afastada estiver uma partícula do emissor, mais pequena será a sua oscilação, porque a mesma energia se distribui por uma área maior.

O som não se propaga no vazio e a sua velocidade de propagação, no ar, depende das condições de temperatura e pressão. À temperatura de 25ºC e à pressão atmosférica normal tem o valor de 340m/s.

A velocidade varia consoante o meio seja gasoso, sólido ou líquido pois as moléculas constituintes destes materiais dispõem-se de formas diferentes.

O espectro sonoro divide-se em três zonas

. Infra-sons – frequências menores que 20 Hz

. Audível – 20 a 20000 Hz

. Ultra-sons – frequências superiores a 20000 Hz

O som é caracterizado por:

Altura – permite distinguir sons agudos (altos) de sons graves (baixos). Depende da frequência da onda.

. Sons altos – frequência maior

. Sons baixos – frequência menor

Intensidade – permite distinguir se um som é forte ou fraco. Quanto maior for a amplitude da onda sonora, maior será a intensidade do som. Define-se como a energia que atravessa, na unidade de tempo, uma área unitária perpendicular à direcção de propagação.

, como  e como a velocidade se pode obter derivando , resulta que

Timbre – resulta da combinação do som fundamental (puro) e dos seus harmónicos. Permite distinguir dois sons com as mesmas intensidades e frequências mas produzidos por instrumentos diferentes.

O som pode ser puro ou complexo

Som puro – tem uma frequência bem definida. É uma onda harmónica definida pela função seno ou co-seno e tem uma frequência muito bem definida (ex. som do diapasão).

Som complexo – resulta da combinação de sons puros.

Som harmónico – é um som puro cuja frequência é um múltiplo da frequência do som fundamental.

As ondas sobrepõem-se. Isto é, combinam-se num mesmo meio dando origem a uma onda composta.

Nota: Numa onda que resulta da sobreposição de várias ondas, cada partícula do meio oscila com uma elongação que é a soma dos deslocamentos correspondentes a cada uma das ondas componentes.

Sobreposição – Interferência, se a frequência é a mesma. Pode ser:

. Construtiva

. Destrutiva

Campo magnético e linhas de campo magnético

Um íman cria um campo magnético, , cuja unidade SI é o tesla (T). O campo magnético num dado ponto é tanto maior quanto maior for a força que actua sobre um íman ai colocado.

Linhas de campo – linhas imaginárias que caracterizam o campo magnético. Indicam a direcção do campo magnético. As linhas de qualquer campo magnético são sempre fechadas (partem e voltam ao íman) e cobrem todo o espaço. As linhas de campo nunca se cruzam (se se cruzassem haveria dois campos magnéticos diferentes no mesmo ponto).

Densidade de linhas de campo – número de linhas que atravessa uma área unitária perpendicular às próprias linhas.

Intensidade do campo – quanto maior for a densidade das linhas de campo mais intenso ele será.

Campo uniforme – campo magnético constante (não varia em direcção, sentido e módulo). As linhas de campo são rectas paralelas igualmente espaçadas.

Nota: Uma corrente eléctrica, tal como um íman, cria um campo magnético à sua volta. O campo magnético é tanto mais intenso quanto maior for a intensidade de corrente.

Correntes eléctricas – movimentos orientados de cargas eléctricas.

Nota: Uma carga eléctrica cria à sua volta um campo eléctrico, , cuja unidade SI é V/m (Volt por metro). O campo eléctrico é tanto mais intenso quanto maior for a força que actua sobre uma partícula carregada.

O campo eléctrico criado por uma carga:

. É tanto maior quanto maior a carga.

. É tanto menor quanto maior for a distância à carga.

. Aponta para a carga se esta for positiva, mas em sentido contrário se for negativa.

Nota: No campo eléctrico as linhas de campo começam nas cargas positivas e terminam nas cargas negativas.

Ao conjunto de duas cargas contrárias chama-se dipolo eléctrico.

Campo eléctrico uniforme – mantém a direcção, o sentido e o módulo. É constante em todos os pontos dessa região, sendo então as linhas de campo paralelas e rectilíneas.

Fluxo magnético – quantidade de linhas de campo que passam numa unidade de área. Representa-se pela letra grega m, cuja unidade SI é o weber (Wb)

é o módulo do campo magnético (T)

A é a área da superfície por onde passam as linhas de campo magnético (m2).

q é o ângulo entre as linhas de campo e recta perpendicular à superfície (º).

O fluxo magnético que atravessa uma espira de área A pode variar se:

. a intensidade do campo magnético variar;

. a área atravessada pelo campo magnético variar;

. o ângulo que o campo magnético faz com a espira variar.

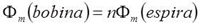
Para calcular o fluxo para uma bobina de n (número de espiras) espiras calculasse o fluxo para uma espira e, posteriormente, multiplicasse pelo número de espiras.

Indução electromagnética

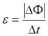
Surge na espira uma corrente eléctrica sempre que o fluxo do campo magnético através da superfície delimitada por uma espira condutora varia com o tempo. Essa corrente denomina-se corrente induzida e o fenómeno que está na sua origem chama-se indução electromagnética. Resumidamente, aparece uma corrente induzida sempre que varia o fluxo do campo magnético, fenómeno que se designa por indução electromagnética.

Um campo magnético variável pode gerar um campo eléctrico. As fontes de campo eléctrico são cargas eléctricas ou campos magnéticos variáveis.

Quanto mais rápida for a variação do campo magnético maior será a intensidade da corrente induzida.

Um fio percorrido por uma corrente variável produz um campo magnético variável. Se o fluxo não for nulo, surge uma corrente induzida noutro circuito.

Força electromotriz induzida – é a diferença de potencial associada a uma corrente induzida. Quanto maior for a força electromotriz induzida, maior será a energia que o circuito pode fornecer.

Faraday estabeleceu a relação entre a força electromotriz e o fluxo magnético.

Lei de Faraday 

 (Wb/s = V)

Outros Trabalhos Relacionados

Ainda não existem outros trabalhos relacionados

Início » Apont. e Resumos » Física » 11º Ano