Início » Apont. e Resumos » Matemática » 12º Ano

Apontamentos e Resumos

de Matemática - 12º Ano

 

Limites e Funções (parte 1)

Autores: Ana Tavares

Escola: [Escola não identificada]

Data de Publicação: 28/10/2013

Apresentação: Apontamentos sobre limites e funções, realizado no âmbito da disciplina de Matemática (12º ano). 

Ver Apontamento/Resumo Completo

Comentar este trabalho / Ler outros comentários

Se tens trabalhos com boas classificações, envia-nos, de preferência em word para notapositiva@sapo.pt pois só assim o nosso site poderá crescer.

 

 

 

Limites e Funções

Conceito e Propriedades

NOÇÃO INTUITIVA

Quando estudámos as funções logarítmica e exponencial vimos que, por exemplo,

A segunda expressão significa que, podemos tomar valores da função  tão próximos de zero quanto se queira, tomando valores de  cada vez maiores (o que traduzimos por ).

Estas noções intuitivas são fáceis de compreender, em particular, se tivermos o auxílio de um gráfico para visualizar o comportamento da função.

LIMITE NUM PONTO (noção intuitiva)

A função  de domínio  tem a seguinte representação gráfica:

 

Qual é o comportamento da função quando   toma valores muito próximos de 2?

Observe-se a tabela seguinte obtida com uma máquina calculadora:

 

 

1,9

6,333333333

 

2,1

5,727272727

1,99

6,03030303

 

2,01

5,97029703

1,999

6,003003003

 

2,001

5,997002997

1,9999

6,00030003

 

2,0001

5,99970003

1,99999

6,00003

 

2,00001

5,99997

Parece que, quanto mais próximo de 2 estiver , mais próximo de 6 está .

 

De facto, podemos tomar o valor de  tão próximo de 6 quanto queiramos, escolhendo valores de  suficientemente próximos de 2. Dizemos então que o limite da função quando  tende para 2 é 6 e escrevemos

Notação

Noção intuitiva

Interpretação gráfica

 

Podemos tornar o valor de  tão próximo do número  quanto queiramos, escolhendo  suficientemente próximo (mas não igual!) de .

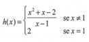
Na situação anterior o limite da função quando  tende para 2 coincide com o valor da função nesse ponto, mas isso nem sempre acontece. Aliás, é de notar que pode existir o limite de uma função  quando  tende para um número  e esse número não pertencer ao domínio da função, .

Vejamos os seguintes exemplos:

Função

Gráfico

Limite

  D=…

  D=…

Repare-se que o limite de uma função quando  tende para um número  não depende do valor da função nesse ponto. O limite, se existir, depende apenas do valor da função quando  toma valores muito próximos de , mas não iguais a .

Passemos agora à definição de limite num ponto, de modo mais rigoroso:

A expressão significa que para todo o  existe um  tal que, se  então 

 Ou ainda,

Para todo o intervalo , é possível encontrar um número positivo  tal que, se  estiver a uma distância de   inferior a  – isto é,  – então,  toma valores apenas no intervalo .

 

Considerando um número  positivo (mesmo que seja muito pequeno)

Conseguimos encontrar um intervalo centrado em  tal que, quando  percorre o intervalo ,  varia apenas no intervalo

 LIMITES LATERAIS NUM PONTO (noção intuitiva)

De modo análogo podemos definir os limites laterais.

Voltando ao exemplo da função , de domínio , verificamos graficamente que o valor da função pode estar tão próximo de 6 quanto queiramos, escolhendo para isso valores de  suficientemente próximos e inferiores a 2.

Dizemos então que o limite da função quando  tende para 2, por valores inferiores a 2 (ou à esquerda de 2) é 6 e escrevemos

A notação  significa que o valor de  tende para  por valores inferiores   (à esquerda de );

e a notação  significa que o valor de  tende para  por valores superiores   (à direita de ).

 

Notação

Noção intuitiva

Interpretação gráfica

 

(limite à esquerda)

Podemos tornar o valor de  tão próximo do número  quanto queiramos, bastando escolher  suficientemente próximo de , por valores inferiores .

 

(limite à direita)

Podemos tornar o valor de  tão próximo do número  quanto queiramos, bastando escolher  suficientemente próximo de , por valores superiores a .

UNICIDADE DO LIMITE

O limite de uma função, quando existe, é único.

Considere agora as seguintes situações:

Situação 1:

Poderemos afirmar que há limite quando ?

Situação 2:

Poderemos afirmar que existe limite quando ?

RELAÇÃO ENTRE LIMITES LATERAIS E LIMITE

O limite de uma função quando  tende para  existe se, e apenas se, existirem os limites laterais da função nesse ponto e forem iguais.

Casos particulares:

 Se a função estiver definida apenas à direita de  então,

 

Se a função estiver definida apenas à esquerda de  então,

 Aplique:

Para cada uma das funções representadas graficamente, indique o valor dos limites laterais quando

 e se existe o limite da função quando  tende para o mesmo valor.

 

TÉCNICAS PARA O CÁLCULO DE LIMITES

Limites de funções particulares:

1.     Limite da função constante:

2.     Limite da função identidade:

      y=3

    y=x

 

Exemplos:

 

Muitas funções podem ser expressas como somas, diferenças, produtos e quocientes de outras funções, pelo que é útil conhecer algumas regras operatórias com limites.

Regras operatórias com limites

 

Sejam  e  dois números reais tais que

Então,

 

Exemplo 1:

Repare que, na prática, o limite da função polinomial  é igual ao valor da função no ponto 3, pois .

 

Exemplo 2:

Repare que, tal como no caso anterior, o limite da função racional é igual ao valor da função no ponto 2, pois

Limite de uma função polinomial

O limite de uma função polinomial  quando  tende para  é igual ao valor da função nesse ponto.

Limite de uma função racional

O limite de uma função racional  quando  tende para  é igual ao valor da função nesse ponto.

Calcule:


 

LIMITES QUE ENVOLVEM INFINITO                                                                                       

Voltemos ao exemplo da função racional  , de domínio .

Qual é o comportamento da função quando  toma valores muito grandes?

Observe-se os valores da tabela:

100

3,030303

1000

3,003003

10000

3,000300

100000

3,000030

1000000

3,000003

 

Neste caso verificamos que  se torna de cada vez mais próximo de 3. Sempre que nos é possível tomar uma função   tão próxima de 3 quanto queiramos, escolhendo, para tal, valores de  suficientemente grandes, escrevemos

De um modo mais rigoroso, a expressão

significa que para todo o , existe um  tal que, se   então ou ainda, que por mais pequeno que seja o número  considerado, existe sempre um valor do domínio  a partir do qual a função toma valores apenas no intervalo .

-100

2,970297

-1000

2,997003

-10000

2,999700

-100000

2,999970

-1000000

2,999997

 

Também podemos escrever uma vez que é possível tomar a função   tão próxima de 3 quanto queiramos, escolhendo para  valores negativos muito grandes.

 

À semelhança do caso em que  tende para um número real , podemos estabelecer regras operatórias com limites que envolvam o infinito. Em particular, temos

Regras operatórias com limites

Sejam  e  dois números reais tais que

Então,

 

Outros Trabalhos Relacionados

Ainda não existem outros trabalhos relacionados

Início » Apont. e Resumos » Matemática » 12º Ano