Início » Textos de Apoio » Física » 10º Ano

Textos de Apoio

Física - 10º Ano

 

Forças Fundamentais da Natureza

Autores: Maria Antonieta

Escola: [Escola não identificada]

Data de Publicação: 12/10/2011

Resumo do Trabalho: Textos de Apoio sobre as Forças Fundamentais da Natureza, realizado no âmbito da disciplina de Física (10º ano).

Ver Trabalho Completo

Comentar este trabalho / Ler outros comentários

Se tens trabalhos com boas classificações, envia-nos, de preferência em word através do Formulário de Envio de Trabalhos pois só assim o nosso site poderá crescer.

 

 

 

Forças Fundamentais da Natureza

FORÇAS FUNDAMENTAIS DA NATUREZA

A força gravítica é conhecida há 4 séculos antes de Cristo, mas só Newton , descreveu matematicamente a expressão que explica o movimento dos corpos.

No tempo dos antigos gregos, já se conheciam as forças magnéticas e ainda as forças eléctricas (falar no âmbar e na atracção dos corpos leves).

Como estas 2 estão intimamente relacionadas falamos em forças electromagméticas.

No séc. XX, descobriram 2 novas forças: força nuclear forte e força nuclear fraca.

Força nuclear forte – responsável pela união de protões e neutrões dentro do núcleo.

Força nuclear fraca – responsável por um processo radioactivo (transformação de um núcleo noutro), em que um neutrão passa a protão ou vice-versa.

Estas 2 forças, são forças à distância (embora a distância seja muito pequena)

Forças do tipo, entre a mão e o carrinho, não são forças fundamentais.

Por ordem decrescente de intensidade:

nuclear forte, electromagnética nuclear fraca. Gravitacional

Por ordem de alcance: nuclear fraca e forte = 10-15m; gravitacional e f.e.m – infinito.

Desejo de unificar todas as forças.

As forças e os seus efeitos

Os efeitos das forças estão definidos na velha definição de força.

. Alteração do estado de movimento ou de repouso de um corpo

. Alteração da direcção e sentido do movimento.

. Causar deformação.

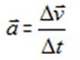
Aceleração – uma variação de velocidade

Mede a variação da velocidade por unidade de tempo. Tal como a velocidade, a aceleração é uma grandeza vectorial, pode variar em direcção, sentido e módulo.

Quando a velocidade não é constante, há aceleração.

A expressão pode vir em módulo ou em escalar (aqui aparecem os sinais + e -).

Quando a velocidade escalar, não é constante, calculamos a aceleração média: am = ∆v / ∆t  escalar. Pode-se calcular a aceleração instantânea, de maneira semelhante ou através do declive, tangente ou derivada. Quando a aceleração é constante, calcula-se da mesma maneira. Basta que a velocidade mude de direcção ou sentido, mesmo com módulo constante, para haver aceleração.

A aceleração traduz o modo como a velocidade varia (em todas as características), com o tempo.

(pag. 34).

Enquanto que o deslocamento e a velocidade têm o mesmo sentido, a velocidade e a aceleração: se tiverem o mesmo sentido, o módulo da velocidade aumenta; se tiverem sentidos opostos, o módulo da velocidade diminui. (ver fig. do livro).

Quando se trata de valores algébricos ou escalares, sentido positivo (esq./ dir. ou sentido do eixo de referência) e vice-versa.

Gráfico velocidade - tempo

Analisar os 4 gráficos, todos no sentido positivo, por ser no 1º quadrante.

1º - A velocidade aumenta de uma maneira uniforme. A aceleração é constante. O sentido é positivo. A velocidade e a aceleração são positivas. A acel. instantânea é igual à aceleração média. O módulo da velocidade aumenta.

2º - A velocidade diminui de uma maneira uniforme. O sentido é positivo. O módulo da velocidade diminui. A aceleração é negativa e constante.

Assim a velocidade é positiva (eixo positivo), mas a aceleração é negativa. A acel. instantânea é igual à aceleração média.

3º - A aceleração é nula. A veloc. é constante e positiva.

4º - A velocidade aumenta de uma maneira não uniforme, a aceleração é variável. A velocidade e a aceleração são positivas. A aceleração média é diferente da aceleração instantânea.

Nota: todos estes gráficos se  passam no 1º quadrante. Se estivessem no 4º quadrante, as velocidades eram negativas. Então o sentido da velocidade era negativo.

No entanto se o módulo da velocidade aumenta, a aceleração é positiva, se o módulo da velocidade diminui, a aceleração é negativa.

FORÇA E ACELERAÇÃO

2ª Lei da Dinâmica ou equação fundamental da dinâmica

Uma força aplicada num corpo imprime-lhe uma aceleração com a mesma direcção e sentido da força (porque a massa é sempre positiva).

Se actuarem várias forças, a resultante das forças é igual a  ma.

Unidades: Força – (N) – newton

Massa – (Kg)

Aceleração – ms-2

A expressão pode utilizar-se, escalarmente.

F = ma

Definição de newton – é a intensidade da força exercida num corpo de 1Kg de modo a imprimir-lhe a aceleração de 1 ms-2.

1ª Lei de Newton  Se a resultante das forças que actua no sistema é nula (Fr = 0), o sistema não tem aceleração (a=0).

Este tipo de movimento diz-se uniforme.

Enunciado da lei: Quando num corpo não actuam forças, ou a resultante das forças é igual a zero, o corpo, ou está em repouso ou em movimento rectilíneo uniforme, com a velocidade que tinha atingido.

Queda dos graves

A interacção gravítica entre a Terra e um corpo na vizinhança da superfície da Terra é de aproximadamente 9,8 NKg-1/ por unidade de massa.

Explicar: aplicando a lei da gravitação a um corpo de massa 1 Kg, vem:

O valor da aceleração à superfície da Terra à superfície tem o mesmo valor, com diferente unidade (g) – aceleração da gravidade.

F = ma 9,8 = 1xg g = 9,8 ms-2 porque ……..

O movimento de queda de um corpo é uniformemente variado, pois a aceleração é constante.

Se for um movimento de descida, é uniformemente acelerado, pois o módulo da velocidade está a aumentar uniformemente.

Se o movimento for de subida, é uniformemente retardado, pois o módulo da velocidade está a diminuir.

Se a resultante das forças tem a mesma direcção e sentido da velocidade inicial do corpo, ou se está em repouso, o módulo da velocidade aumenta (MUA)

Se a resultante das forças tem a mesma direcção mas sentido oposto ao da velocidade inicial do corpo, , o módulo da velocidade diminui (MUR).

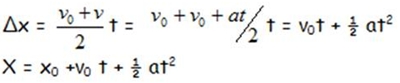
Lei das velocidades para um movimento unif. Variado

Num gráfico v/t obtem-se uma recta cujo declive é a aceleração.

Os valores v0 e a podem ser negativos ou positivos. Se têm o mesmo sinal, o movimento é U.A, se têm sinais contrários opostos, o movimento é U.R.

O deslocamento efectuado determina-se através da área limitada pelo eixo e a recta.

Voltando a pôr o gráfico:

O deslocamento …..vamos calcular a área:

Trapézio:

 

 

Outros Trabalhos Relacionados

Ainda não existem outros trabalhos relacionados

Início » Textos de Apoio » Física » 10º Ano